售前:400-158-8702    服务热线:024-86110330

森格锐软件>>物联网解决方案>>粮库智能购粮解决方案

产品介绍| 产品图片

粮库购粮系统(智能购粮企业版)

方案描述
       森格锐软件已经为多个粮食收购企业提供成功的信息化解决方案,依托RFID电子锁、PDA手持机、M1卡、读卡器、地磅等硬件设备, 实现卖粮车辆从扦样,接样,化验,信息,称重,财务等一体化管理。全面实现物流、信息流、资金流的整合,达到“数据自动采集,信息快捷传递,平台分级可视,全程监督控制,决策依据充分,系统封闭运行”。从根本上杜绝购粮过程中的作弊现象,节省大量人力成本,规范并提升企业管理水平,为企业创造更大效益。
版本划分
       通用版,专业定制版
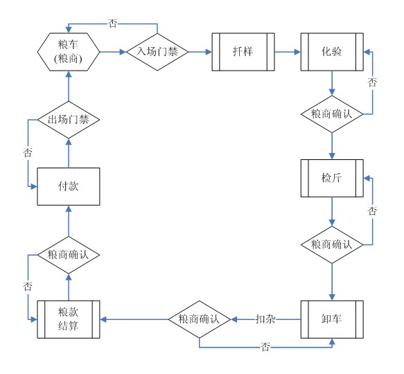
购粮流程样例
       可根据不同企业不同购粮流程定制

流程设计
       A. 粮车到了先扦样
       B. 挂锁并给司机配卡后对车施封
       C. 接样处接样,并排队等待质检
       D. 质检处化验并得出粮的参数,含水,如果不合格则拒收
       E. 信息处根据质检结果反馈给客户(拒收或者粮价)粮价根据系统设定的含水值自动计算
       F. 客户同意卖粮后输入客户基本信息(身份证号,姓名,地址等)
       G. 粮车上磅
       H. 系统判断粮车电子锁,司机刷卡是否匹配,如果不匹配则不予处理并警告
       I. 如果匹配则称重记录
       J. 粮车进入仓库卸货
       K. 粮车出厂上磅称重,并判断粮车电子锁和司机卡是否匹配
       L. 计算粮食重量,输入扣重,得出净重并计算结算款项
系统特点
       1.实用性更高,完全依据企业实际购粮工作流程开发,不会出现实际工作与软件功能脱节情况;
       2.软硬件结合,智能化程度高,替代人员手工操作,提高工作效率,节省大量人力成本;
       3.提供Excel数据导入、导出功能,也可导出相关图表;
       4.功能扩展性强,以后系统后期扩展没有任何限制,不会出现产品可以满足现有需求,以后无法功能扩展的情况;
       5. 安全、完善的权限控制机制,每个人只能看到自己工作相关的内容;
       6.没有点数限制,满足操作人员扩展需要;
       7. 丰富的项目实施经验和完善的售后服务,确保系统成功运行;
试用及演示
       请电话或在线联系客服人员—服务热线:400-158-8702,400-158-8702
其它说明
       系统采用C/S架构,支持二次开发
硬件设备
       a、RFID电子锁

      智能锁产品是专为货物途中运输进行实时监控的高科技产品,将独有的微机电控制技术与RFID无线通讯技术相结合,为集装箱等货物途中运输提供全程安全保障,适用于货物监管、集装箱等货物途中安全监控等领域。
`
       b、 手持式PDA

       一款功能强大、读写距离稳定、高性能的手持移动终端设备,其中心发射频率为915MHz,专用于符合ISO818000-6C/EPCC1Gen2电子标签的读写设备。 它独立完成对符合ISO18000-6C/EPCC1Gen2标准的电子标签的读写及控制操作,可广泛应用于需以电子标签作为存贮媒体的应用系统或产品中。为了更好地适应客户端的需求,我们将基于Windows CE6.0或LINUX移动操作系统的一个硬件平台内置到该RFID手持机中,使其拥有良好的人机交互界面,方便用户操作。
分享到19.8K